Ball milling as an effective route for the preparation of doped bornite: synthesis, stability and thermoelectric properties†
Abstract
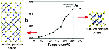
Bornite, Cu5FeS4, is a naturally-occurring mineral with an ultralow thermal conductivity and potential for thermoelectric power generation. We describe here a new, easy and scalable route for synthesising bornite, together with the thermoelectric behaviour of manganese-substituted derivatives, Cu5Fe1−xMnxS4 (0 ≤ x ≤ 0.10). The electrical and thermal transport properties of Cu5Fe1−xMnxS4 (0 ≤ x ≤ 0.10), which are p-type semiconductors, were measured from room temperature to 573 K. The stability of bornite was investigated by thermogravimetric analysis under inert and oxidising atmospheres. Repeated measurements of the electrical transport properties confirm that bornite is stable up to 580 K under an inert atmosphere, while heating to 890 K results in rapid degradation. Ball milling leads to a substantial improvement in the thermoelectric figure of merit of unsubstituted bornite (ZT = 0.55 at 543 K), when compared to bornite prepared by conventional high-temperature synthesis (ZT < 0.3 at 543 K). Manganese-substituted samples have a ZT comparable to that of unsubstituted bornite.
- This article is part of the themed collection: The Chemistry of Thermoelectric Materials
Please wait while we load your content...