Issue 5, 2010

Effect of ethylene carbonate on the ionic conduction in poly(vinylidenefluoride-hexafluoropropylene) based solid polymer electrolytes

Abstract

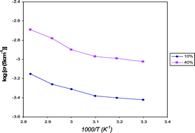
Polymer electrolytes based on poly(vinylidenefluoride-hexafluoropropylene) (PVdF-HFP) as the polymer host, lithium trifluoromethanesulfonate (LiTf) as the salt and ethylene carbonate (EC) as the plasticizer, has been prepared by a solution casting technique. Addition of LiTf resulted in an increase in the electrical conductivity of polymer. EC will act to increase the degree of salt dissociation and also ionic mobility. The highest ionic conductivity achieved at room temperature was for PVdF-HFP + LiTf : EC (60 : 40) with the conductivity ∼10−3 S cm−1. The conductivity of the polymer electrolyte increases with the increase in amount of plasticizer. The interaction of the PVdF-HFP, LiTf and EC were analyzed by Fourier transform infared (FTIR). The temperature dependent conductivity, frequency dependent conductivity, dielectric permittivity (ε/) and modulus (M/) studies were carried out. Thermo gravimetric analysis (TGA) reveals that the thermal stability of polymer electrolytes decreases with the increase in EC content.

Graphical abstract: Effect of ethylene carbonate on the ionic conduction in poly(vinylidenefluoride-hexafluoropropylene) based solid polymer electrolytes

Article information

Article type
Paper
Submitted
16 Sep 2009
Accepted
01 Jan 2010
First published
05 Feb 2010

Polym. Chem., 2010,1, 702-707

Effect of ethylene carbonate on the ionic conduction in poly(vinylidenefluoride-hexafluoropropylene) based solid polymer electrolytes

S. Ramesh and O. P. Ling, Polym. Chem., 2010, 1, 702 DOI: 10.1039/B9PY00244H

To request permission to reproduce material from this article, please go to the Copyright Clearance Center request page.

If you are an author contributing to an RSC publication, you do not need to request permission provided correct acknowledgement is given.

If you are the author of this article, you do not need to request permission to reproduce figures and diagrams provided correct acknowledgement is given. If you want to reproduce the whole article in a third-party publication (excluding your thesis/dissertation for which permission is not required) please go to the Copyright Clearance Center request page.

Read more about how to correctly acknowledge RSC content.

Social activity

Spotlight

Advertisements