Issue 5, 2025

Selective gas phase pulsed etching of oxides with NbCl5

Abstract

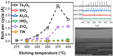
Ta2O5 films were etched with NbCl5 using a chemical vapor etching method known as gas-phase pulsed etching (GPPE) where the etchant is delivered in short pulses with inert gas purging in between the pulses. Arrhenius type dependence of etch per cycle (EPC) on temperature was found at 275–375 °C and the activation energy of the etching reaction is estimated at 120 kJ mol−1. Length of the etchant pulse had a linear effect on EPC and increasing the purge length also increased EPC. Roughnesses of the partially etched films increased from 0.2 to 1.4 nm, as measured by atomic force microscopy. No residual Nb or Cl was detected in the films by energy-dispersive X-ray spectroscopy, but a small amount of Cl residue was seen with in vacuo X-ray photoelectron spectroscopy. Etching of TiO2 and ZrO2 was also observed but HfO2 was not etched by NbCl5 at 300–400 °C. Selectivity with respect of SiO2, Al2O3, and TiN was also proven at the same temperature range. EPC up to 2.8, 1.1, and 4.0 Å were observed for Ta2O5, ZrO2, and TiO2, respectively.

Graphical abstract: Selective gas phase pulsed etching of oxides with NbCl5

Article information

Article type
Paper
Submitted
15 Aug 2024
Accepted
28 Nov 2024
First published
09 Dec 2024
This article is Open Access
Creative Commons BY license

J. Mater. Chem. C, 2025,13, 2347-2355

Selective gas phase pulsed etching of oxides with NbCl5

J. Ojala, M. Vehkamäki, M. Chundak, A. Vihervaara, K. Mizohata and M. Ritala, J. Mater. Chem. C, 2025, 13, 2347 DOI: 10.1039/D4TC03488K

This article is licensed under a Creative Commons Attribution 3.0 Unported Licence. You can use material from this article in other publications without requesting further permissions from the RSC, provided that the correct acknowledgement is given.

Read more about how to correctly acknowledge RSC content.

Social activity

Spotlight

Advertisements