A two-dimensional topological nodal-line material MgN4 with extremely large magnetoresistance
Abstract
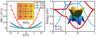
Using first-principles calculations, we predict a stable two-dimensional atomically thin material MgN4. This material has a perfect intrinsic electron–hole compensation characteristic with high carrier mobility, making it a promising candidate material with extremely large magnetoresistance. As the magnetic field increases, the magnetoresistance of the monolayer MgN4 will show a quadratic dependence on the strength of the magnetic field without saturation. Furthermore, nontrivial topological properties are also found in this material. In the absence of spin–orbit coupling, the monolayer MgN4 belongs to a topological nodal-line material, in which the band crossings form a closed saddle-shape nodal-ring near the Fermi level in the Brillouin zone. Once the spin–orbit coupling is considered, a small local energy gap is opened along the nodal ring, resulting in a topological insulator defined on a curved Fermi surface with
2 = 1. The combination of two-dimensional single-atomic-layer thickness, an extremely large magnetoresistance effect, and topological non-trivial properties in the monolayer MgN4 makes it an excellent platform for designing novel multi-functional devices.

Please wait while we load your content...