Issue 1, 2017

Selective transition-metal-free vicinal cis-dihydroxylation of saturated hydrocarbons

Abstract

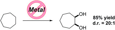
A transition-metal-free cis-dihydroxylation of saturated hydrocarbons under ambient reaction conditions has been developed. The described approach allows a direct and selective synthesis of vicinal diols. The new reaction thereby proceeds via radical iodination and a sequence of oxidation steps. A broad scope of one-pot dual C(sp3)–H bond functionalization for the selective synthesis of vicinal syn-diols was demonstrated.

Graphical abstract: Selective transition-metal-free vicinal cis-dihydroxylation of saturated hydrocarbons

Supplementary files

Article information

Article type
Edge Article
Submitted
11 Jul 2016
Accepted
20 Aug 2016
First published
22 Aug 2016
This article is Open Access

All publication charges for this article have been paid for by the Royal Society of Chemistry
Creative Commons BY license

Chem. Sci., 2017,8, 452-457

Selective transition-metal-free vicinal cis-dihydroxylation of saturated hydrocarbons

L. Bering and A. P. Antonchick, Chem. Sci., 2017, 8, 452 DOI: 10.1039/C6SC03055F

This article is licensed under a Creative Commons Attribution 3.0 Unported Licence. You can use material from this article in other publications without requesting further permissions from the RSC, provided that the correct acknowledgement is given.

Read more about how to correctly acknowledge RSC content.

Social activity

Spotlight

Advertisements