Issue 3, 2025

Collaborative multi-interface engineering and dynamic iron exchange boost robust bifunctional water electrolysis at 2 A cm−2

Abstract

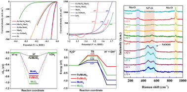
Due to the incompatibility and inconsistency of the active species for hydrogen and oxygen evolution reactions, nearly all the intermetallic catalysts present superb catalytic activity for one half reaction at the expense of another reaction activity, thus leading to large electric power consumption of alkaline water splitting. To achieve low-voltage electrochemical H2 production through water electrolysis, here we present a hierarchical trimetal hybrid catalyst comprising intermetallic nickel–molybdenum alloy (MoNi4) particles and metallic iron particles anchoring on MoO2 nanorod arrays with synergistic multimetal sites that exhibit relay catalysis for bifunctional water splitting as rationalized by operando Raman, X-ray photoelectron spectroscopic studies and density functional theory (DFT) calculations. These metal sites situated at the multilevel interfaces of Fe/MoNi4/MoO2 collaboratively promote the reaction pathway including initial water adsorption/dissociation, hydrogen adsorption and oxygen-containing intermediate adsorption, thereby substantially jeopardizing overall water splitting at 500/1000 mA cm−2 with a record low cell voltage of around 1.6 V, which is exceptionally better than that of noble IrO2(+)||Pt/C(−) couple electrodes (>1.9 V). This intermetallic catalyst demands extremely low overpotentials of 59 and 277 mV for hydrogen and oxygen evolution reactions at 500 mA cm−2, outperforming nearly all the inexpensive bifunctional electrocatalysts. Especially, this catalyst can exhibit superior catalytic performance at an industrial-level current density of 500–2000 mA cm−2 without noticeable degradation. This work paves a promising avenue to develop efficient bifunctional non-noble catalysts for industrial-level water electrolysis via relay catalysis.

Graphical abstract: Collaborative multi-interface engineering and dynamic iron exchange boost robust bifunctional water electrolysis at 2 A cm−2

Supplementary files

Article information

Article type
Paper
Submitted
08 Oct 2024
Accepted
05 Dec 2024
First published
06 Dec 2024

Energy Environ. Sci., 2025,18, 1320-1330

Collaborative multi-interface engineering and dynamic iron exchange boost robust bifunctional water electrolysis at 2 A cm−2

D. Li, Y. Zhang, W. Xie, Q. Zhou, F. Yu, Y. Qi, Z. Lian, L. Zhang, H. Wang, D. Tang and H. Zhou, Energy Environ. Sci., 2025, 18, 1320 DOI: 10.1039/D4EE04619F

To request permission to reproduce material from this article, please go to the Copyright Clearance Center request page.

If you are an author contributing to an RSC publication, you do not need to request permission provided correct acknowledgement is given.

If you are the author of this article, you do not need to request permission to reproduce figures and diagrams provided correct acknowledgement is given. If you want to reproduce the whole article in a third-party publication (excluding your thesis/dissertation for which permission is not required) please go to the Copyright Clearance Center request page.

Read more about how to correctly acknowledge RSC content.

Social activity

Spotlight

Advertisements