Issue 30, 2012

Structure, stereochemistry and synthesis of enantiopure cyclohexenone cis-diol bacterial metabolites derived from phenols

Abstract

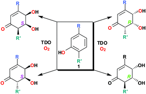
Biotransformation of 3-substituted and 2,5-disubstituted phenols, using whole cells of P. putida UV4, yielded cyclohexenone cis-diols as single enantiomers; their structures and absolute configurations have been determined by NMR and ECD spectroscopy, X-ray crystallography, and stereochemical correlation involving a four step chemoenzymatic synthesis from the corresponding cis-dihydrodiol metabolites. An active site model has been proposed, to account for the formation of enantiopure cyclohexenone cis-diols with opposite absolute configurations.

Graphical abstract: Structure, stereochemistry and synthesis of enantiopure cyclohexenone cis-diol bacterial metabolites derived from phenols

Supplementary files

Article information

Article type
Paper
Submitted
11 Jan 2012
Accepted
22 Feb 2012
First published
19 Mar 2012

Org. Biomol. Chem., 2012,10, 6217-6229

Structure, stereochemistry and synthesis of enantiopure cyclohexenone cis-diol bacterial metabolites derived from phenols

D. R. Boyd, N. D. Sharma, J. F. Malone, P. B. A. McIntyre, P. J. Stevenson, C. C. R. Allen, M. Kwit and J. Gawronski, Org. Biomol. Chem., 2012, 10, 6217 DOI: 10.1039/C2OB25079A

To request permission to reproduce material from this article, please go to the Copyright Clearance Center request page.

If you are an author contributing to an RSC publication, you do not need to request permission provided correct acknowledgement is given.

If you are the author of this article, you do not need to request permission to reproduce figures and diagrams provided correct acknowledgement is given. If you want to reproduce the whole article in a third-party publication (excluding your thesis/dissertation for which permission is not required) please go to the Copyright Clearance Center request page.

Read more about how to correctly acknowledge RSC content.

Social activity

Spotlight

Advertisements