Issue 42, 2010

Electric field induced activation of H2—Can DFT do the job?

Abstract

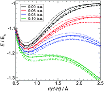
The activation of dihydrogen by frustrated Lewis pairs (FLP) is initially driven by the electric field created inside a molecular cavity [Angew. Chem., Int. Ed., 2010, 49, 1402]. Here we test the accuracy of different density functional methods to describe H2 dissociation in an external electric field in comparison to almost exact results. For larger field strengths (>0.06 a.u.), the dissociation mechanism changes from bi-radical like to zwitter-ionic.

Graphical abstract: Electric field induced activation of H2—Can DFT do the job?

  • This article is part of the themed collection: Hydrogen

Supplementary files

Article information

Article type
Communication
Submitted
14 Jul 2010
Accepted
08 Sep 2010
First published
23 Sep 2010

Chem. Commun., 2010,46, 7942-7944

Electric field induced activation of H2—Can DFT do the job?

B. Schirmer and S. Grimme, Chem. Commun., 2010, 46, 7942 DOI: 10.1039/C0CC02569K

To request permission to reproduce material from this article, please go to the Copyright Clearance Center request page.

If you are an author contributing to an RSC publication, you do not need to request permission provided correct acknowledgement is given.

If you are the author of this article, you do not need to request permission to reproduce figures and diagrams provided correct acknowledgement is given. If you want to reproduce the whole article in a third-party publication (excluding your thesis/dissertation for which permission is not required) please go to the Copyright Clearance Center request page.

Read more about how to correctly acknowledge RSC content.

Social activity

Spotlight

Advertisements