Issue 6, 2012

Poly(disulfide)s

Abstract

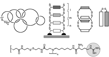
Don't forget poly(disulfide)s. There is a rich literature pointing out the advantages of the dynamic nature of single disulfide bridges to explore self-sorting, biomolecular engineering, biomembrane analysis, and so on. Disulfide bonds between polymer chains are essential for protein folding, materials properties and the stabilization of various supramolecular architectures. However, poly(disulfide)s with disulfide bonds in the main chain are rarely used today to create interesting structures or functions. To attract attention and outline scope and limitations of poly(disulfide)s to build modern supramolecular systems, the rather eclectic recent literature on the topic is summarized. The review is moving from fascinating basic studies including photoinduced metathesis, polycatenanes and polyrotaxanes to applications in biosupramolecular systems such as micelles, membranes, tubes, gels, carriers, pores, sensors, catalysts and photosystems.

Graphical abstract: Poly(disulfide)s

Article information

Article type
Perspective
Submitted
21 Jan 2012
Accepted
15 Feb 2012
First published
01 Mar 2012

Chem. Sci., 2012,3, 1752-1763

Poly(disulfide)s

E. Bang, M. Lista, G. Sforazzini, N. Sakai and S. Matile, Chem. Sci., 2012, 3, 1752 DOI: 10.1039/C2SC20098H

To request permission to reproduce material from this article, please go to the Copyright Clearance Center request page.

If you are an author contributing to an RSC publication, you do not need to request permission provided correct acknowledgement is given.

If you are the author of this article, you do not need to request permission to reproduce figures and diagrams provided correct acknowledgement is given. If you want to reproduce the whole article in a third-party publication (excluding your thesis/dissertation for which permission is not required) please go to the Copyright Clearance Center request page.

Read more about how to correctly acknowledge RSC content.

Social activity

Spotlight

Advertisements