Issue 10, 2022

Total synthesis of (±) commiphoranes C–D and their epimers

Abstract

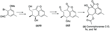
(±) Commiphorane C, (±) commiphorane D, and their two isomers were synthesized through a linear synthesis strategy in 14 steps. Key features of the strategy include the construction of the relative configurations of C-5 and C-6 via aldehyde crotylation followed by the Mitsunobu reaction and ring A via an intramolecular Aldol reaction. The biological evaluation revealed that (±) commiphorane C and (±) isomer-1 significantly attenuated the overproduction of fibronectin, collagen I, and α-SMA in TGF-β1-induced rat renal proximal tubular cells. Intermediate (±) 11 significantly decrease the overexpression of collagen I. Cytotoxicity studies showed that 1a–1d and (±) 11 were not toxic to NRK-52E cells.

Graphical abstract: Total synthesis of (±) commiphoranes C–D and their epimers

Supplementary files

Article information

Article type
Paper
Submitted
25 Jan 2022
Accepted
17 Feb 2022
First published
21 Feb 2022

Org. Biomol. Chem., 2022,20, 2102-2108

Total synthesis of (±) commiphoranes C–D and their epimers

X. Liu, H. Deng, Y. Jiang, Y. Cao, Z. Wang, X. Jiao and P. Xie, Org. Biomol. Chem., 2022, 20, 2102 DOI: 10.1039/D2OB00158F

To request permission to reproduce material from this article, please go to the Copyright Clearance Center request page.

If you are an author contributing to an RSC publication, you do not need to request permission provided correct acknowledgement is given.

If you are the author of this article, you do not need to request permission to reproduce figures and diagrams provided correct acknowledgement is given. If you want to reproduce the whole article in a third-party publication (excluding your thesis/dissertation for which permission is not required) please go to the Copyright Clearance Center request page.

Read more about how to correctly acknowledge RSC content.

Social activity

Spotlight

Advertisements