Model dynamic covalent thermoresponsive amphiphilic polymer co-networks based on acylhydrazone end-linked Tetronic T904 star block copolymers†
Abstract
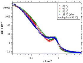
Self-healable, reversible, recyclable, stretchable, thermoresponsive and self-assembled model amphiphilic polymer co-networks (APCNs) were prepared by end-linking Tetronic T904 amphiphilic four-armed star block copolymers of poly(ethylene glycol) (PEG, peripheral blocks) and poly(propylene glycol) (PPG, internal blocks) via dynamic covalent acylhydrazone bonds. These newly developed APCNs were first explored in terms of their dynamic covalent properties, including self-healing, recyclability and reversibility. Remarkably, for the last property, it was possible to determine the percentage of acylhydrazone cross-links for each of the several sol–gel transition cycles, both in the gel (originally formed and reformed APCNs) and solution (dissociated APCNs) states using simple solution (rather than magic angle spinning) 1H NMR spectroscopy. The recorded 1H NMR spectra indicated that the acylhydrazone percentage in the gel state monotonically declined from 92% in the first cycle down to 70% in the seventh cycle, whereas the corresponding percentage in the solution state monotonically increased from 20% up to 55% in the first and sixth cycles, respectively. An additional 1H NMR spectroscopy study based on a model reaction using monofunctionalized PEGs indicated that this incomplete reversibility originates from the slowing down of the reformation reaction from the fifth cycle onwards, with new signals from the benzaldehyde end-group being observable in the seventh cycle probably arising from the “salting out” of the benzaldehyde group in the environment of increased triethylamine hydrochloride concentration. Subsequently, the prepared APCNs were characterized in terms of their self-assembly behavior using small-angle neutron scattering (SANS) in D2O. SANS indicated APCN microphase separation when the temperature was raised from room temperature to 40–50 °C, with the formation of rather small spherical micellar domains (aggregation numbers of ∼8.5 T904 units) with hydrated hydrophobic cores with radii of 3 nm, located within larger domains of ∼50 nm radii. These APCNs are thermoresponsive materials where the increasing temperature leads to an increased structural organization and improved tensile mechanical properties, particularly the stress at break and Young's modulus, which were enhanced by 160% and 130%, respectively.
- This article is part of the themed collection: Trends in Thermoresponsive Polymers: from Chemistry to Applications

Please wait while we load your content...