Issue 6, 2017

A two-step efficient preparation of a renewable dicarboxylic acid monomer 5,5′-[oxybis(methylene)]bis[2-furancarboxylic acid] from d-fructose and its application in polyester synthesis

Abstract

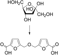
D-Fructose was converted to the dialdehyde 5,5′-[oxybis(methylene)]bis[2-furaldehyde] by heating at 110 °C in DMSO with the Dowex 50 W X8 solid acid catalyst in 76% yield without the isolation of the intermediate 5-hydroxymethylfurfural. This dialdehyde was then converted to the dicarboxylic acid monomer, 5,5′-[oxybis(methylene)]bis[2-furancarboxylic acid], using oxygen (1 atm.) and 5% Pt/C catalyst in 1.5 M aqueous NaOH at room temperature in 98% yield. The new dicarboxylic acid monomer can be considered as a renewable resource based alternative to terephthalic acid as demonstrated by the preparation of polyesters with 1,2-ethanediol and 1,4-butanediol in 87–92% yield.

Graphical abstract: A two-step efficient preparation of a renewable dicarboxylic acid monomer 5,5′-[oxybis(methylene)]bis[2-furancarboxylic acid] from d-fructose and its application in polyester synthesis

Article information

Article type
Paper
Submitted
02 Dec 2016
Accepted
14 Feb 2017
First published
14 Feb 2017

Green Chem., 2017,19, 1570-1575

A two-step efficient preparation of a renewable dicarboxylic acid monomer 5,5′-[oxybis(methylene)]bis[2-furancarboxylic acid] from D-fructose and its application in polyester synthesis

A. S. Amarasekara, L. H. Nguyen, N. C. Okorie and S. M. Jamal, Green Chem., 2017, 19, 1570 DOI: 10.1039/C6GC03314H

To request permission to reproduce material from this article, please go to the Copyright Clearance Center request page.

If you are an author contributing to an RSC publication, you do not need to request permission provided correct acknowledgement is given.

If you are the author of this article, you do not need to request permission to reproduce figures and diagrams provided correct acknowledgement is given. If you want to reproduce the whole article in a third-party publication (excluding your thesis/dissertation for which permission is not required) please go to the Copyright Clearance Center request page.

Read more about how to correctly acknowledge RSC content.

Social activity

Spotlight

Advertisements