Influences of oxygen source and substrate temperature on the unusual growth mechanism of atomic layer deposited magnesium oxide using bis(cyclopentadienyl)magnesium precursor†
Abstract
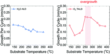
This research reports on the atomic layer deposition (ALD) mechanism of MgO thin film using bis(cyclopentadienyl) magnesium [Mg(Cp)2] as the Mg-precursor and O3 or H2O as an oxygen source. The different growth temperature effects of growth behaviour for the two types of oxygen sources were carefully evaluated. Insufficient H2O purging time caused the Mg-hydrides to remain in the deposited MgO thin film, which may cause inhibited growth on the bare-Si substrate. For the case of O3-based ALD, such an adverse reaction was not observed. However, it showed a complicated temperature-dependent growth behaviour, and an abnormal ‘overgrowth’ zone around 290 °C was found when the growth temperature was varied from 140 °C to 390 °C. The carbonate intermediates and OH− reactive sites involving the growth mechanism with Cp-ring rupture were suggested. This mechanism was supported by the subsequent chemical and physical properties analysis, correlating the electrical characteristics using the planar metal–insulator–metal capacitors [metal layer was titanium nitride (TiN)], with the substrate temperature varying from 230 °C to 390 °C. The MgO deposited at 290 °C, where oligomerisation may happen between ligands after the Cp-ring rupture, caused the void formation, low density, and a relatively high-impurity level. The post-deposition and post-metallisation annealing conditions were examined for the optimal leakage current and dielectric constant of the MgO film. MgO and TiN showed local epitaxial growth due to the close lattice match. This finding suggested the possible use of the in situ crystallised MgO as a crystallisation seed layer for ultrathin (<∼3 nm) higher-k ZrO2 or ferroelectric HfO2-based films on the TiN electrode.

Please wait while we load your content...