Issue 20, 2018

A diarsagermylene and a diarsastannylene stabilised by arene⋯Ge/Sn interactions

Abstract

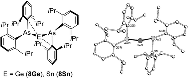
The synthesis and structures of two new diarsatetrylenes {(Dipp)2As}2E are presented [E = Ge, Sn; Dipp = 2,6-diisopropylphenyl]. The high barrier to planarisation of As prevents stabilisation by As–E π-interactions; however, arene⋯Ge/Sn interactions stabilise these compounds by up to 181.4 kJ mol−1. This represents a new stabilisation mode for this class of compounds.

Graphical abstract: A diarsagermylene and a diarsastannylene stabilised by arene⋯Ge/Sn interactions

Supplementary files

Article information

Article type
Communication
Submitted
14 Dec 2017
Accepted
10 Jan 2018
First published
20 Feb 2018
This article is Open Access
Creative Commons BY license

Chem. Commun., 2018,54, 2526-2529

A diarsagermylene and a diarsastannylene stabilised by arene⋯Ge/Sn interactions

K. Izod, P. Evans and P. G. Waddell, Chem. Commun., 2018, 54, 2526 DOI: 10.1039/C7CC09564C

This article is licensed under a Creative Commons Attribution 3.0 Unported Licence. You can use material from this article in other publications without requesting further permissions from the RSC, provided that the correct acknowledgement is given.

Read more about how to correctly acknowledge RSC content.

Social activity

Spotlight

Advertisements