Issue 28, 2015

Two polymorphs of 4-hydroxypiperidine with different NH configurations

Abstract

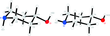
4-Hydroxypiperidine 1 exists in two crystal forms, tetragonal 1t, space group P[4 with combining macron]21c and orthorhombic 1o, space group Fdd2, both with one molecule in the asymmetric unit. The latter form was obtained only rarely and in small quantities. In form 1t, the NH hydrogen is axial, whereas in 1o it is equatorial; the OH group is equatorial in both structures. The packing of both forms involves one hydrogen bond N–H⋯O and one O–H⋯N. In solution, NMR spectra indicate the presence of separate axial and equatorial forms (with respect to the OH group) below ca. −53 °C; however, not even at −104 °C, the lowest temperature reached, could any freezing out of the inversion at nitrogen be observed, implying that the energy barrier for this process is (as expected) small. We were unable to convert 1t, which appears to be the more stable form over the whole temperature range up to the melting point, to 1o by heating or via melting and re-cooling (or by any other method), perhaps because the hydrogen-bonding pattern is resistant to change. The crystalline forms 1t and 1o, despite being polymorphs of 1 with different NH configurations, should not be described as “configurational polymorphs” because of the facile interconversion in solution.

Graphical abstract: Two polymorphs of 4-hydroxypiperidine with different NH configurations

  • This article is part of the themed collection: Polymorphism

Supplementary files

Article information

Article type
Paper
Submitted
16 Dec 2014
Accepted
03 Feb 2015
First published
05 Feb 2015
This article is Open Access
Creative Commons BY-NC license

CrystEngComm, 2015,17, 5206-5215

Author version available

Two polymorphs of 4-hydroxypiperidine with different NH configurations

C. Döring, C. Näther, I. Jess, K. Ibrom and P. G. Jones, CrystEngComm, 2015, 17, 5206 DOI: 10.1039/C4CE02477J

This article is licensed under a Creative Commons Attribution-NonCommercial 3.0 Unported Licence. You can use material from this article in other publications, without requesting further permission from the RSC, provided that the correct acknowledgement is given and it is not used for commercial purposes.

To request permission to reproduce material from this article in a commercial publication, please go to the Copyright Clearance Center request page.

If you are an author contributing to an RSC publication, you do not need to request permission provided correct acknowledgement is given.

If you are the author of this article, you do not need to request permission to reproduce figures and diagrams provided correct acknowledgement is given. If you want to reproduce the whole article in a third-party commercial publication (excluding your thesis/dissertation for which permission is not required) please go to the Copyright Clearance Center request page.

Read more about how to correctly acknowledge RSC content.

Social activity

Spotlight

Advertisements