Temperature dependence of magnetic moment of rare earth ions in ErFeO3 and NdFeO3 single crystals
Abstract
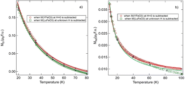
The interaction between rare earth and iron spins in rare earth orthoferrites leads to remarkable phenomena, such as the spin-flip process. This is despite the rare earth spins not being magnetically ordered. Instead, they are polarized by the ordered iron spins. The interaction between the two spin families is not well understood. This study reports the temperature dependence of the net magnetic moment for rare earth spins, by measuring the overall magnetization for ErFeO3 and NdFeO3 single crystals. The obtained temperature dependence can be described well using a model based on the mean field theory, giving tanh(const./T) temperature dependence. This functional dependence is not disrupted by the spin-flip transition as the crystals are cooled.
- This article is part of the themed collection: Showcasing Physical Chemistry research in Australia and New Zealand

Please wait while we load your content...