Issue 21, 2022

Setting the limit for the lateral thermal expansion of layered crystals via helium atom scattering

Abstract

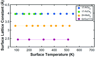
The knowledge of the thermal expansion coefficient is of crucial importance to prevent the poor performance of devices, especially when these are made up of several layers of different materials, as in the case of 2D heterostructures. Helium atom scattering is a suitable tool for the direct measurement of the surface thermal expansion coefficient of materials. This information can be obtained directly from the position of the helium diffraction peaks, which allows determining the surface lattice constant at different temperatures by merely applying Bragg's law. We present new data for PdTe2 which confirm a trend observed for several 2D dichalcogenides, namely, that the in-plane lattice constant remains unchanged (within experimental error) in the temperature range of interest for applications, which enables setting an upper limit for the lateral thermal expansion coefficients of these materials.

Graphical abstract: Setting the limit for the lateral thermal expansion of layered crystals via helium atom scattering

Article information

Article type
Paper
Submitted
14 Feb 2022
Accepted
04 May 2022
First published
23 May 2022

Phys. Chem. Chem. Phys., 2022,24, 13229-13233

Setting the limit for the lateral thermal expansion of layered crystals via helium atom scattering

G. Anemone, A. A. Taleb, A. Politano, C. Kuo, C. S. Lue, R. Miranda and D. Farías, Phys. Chem. Chem. Phys., 2022, 24, 13229 DOI: 10.1039/D2CP00758D

To request permission to reproduce material from this article, please go to the Copyright Clearance Center request page.

If you are an author contributing to an RSC publication, you do not need to request permission provided correct acknowledgement is given.

If you are the author of this article, you do not need to request permission to reproduce figures and diagrams provided correct acknowledgement is given. If you want to reproduce the whole article in a third-party publication (excluding your thesis/dissertation for which permission is not required) please go to the Copyright Clearance Center request page.

Read more about how to correctly acknowledge RSC content.

Social activity

Spotlight

Advertisements