Issue 18, 2016

Synthesis of polyquinolines via an AA/BB-type aza-Diels–Alder polymerization reaction

Abstract

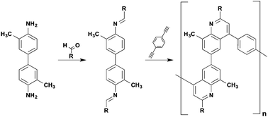
Polyquinolines have attracted attention as functional materials due to their excellent combination of optical, electrical, chemical, thermal, and mechanical properties. However, only a handful of synthetic routes for the preparation of these polymers have been established to date. Here, we demonstrate the preparation of polyquinolines via an AA/BB-type aza-Diels–Alder polymerization reaction. This approach requires only commercial starting materials and two straightforward synthetic steps to furnish the desired products in high yield. Overall, our modular and general route may afford new opportunities for the rational design and preparation of quinoline-based materials.

Graphical abstract: Synthesis of polyquinolines via an AA/BB-type aza-Diels–Alder polymerization reaction

Supplementary files

Article information

Article type
Paper
Submitted
26 Nov 2015
Accepted
21 Mar 2016
First published
08 Apr 2016

J. Mater. Chem. C, 2016,4, 4060-4066

Synthesis of polyquinolines via an AA/BB-type aza-Diels–Alder polymerization reaction

M. J. Umerani, D. J. Dibble, A. G. Wardrip, A. Mazaheripour, E. Vargas, J. W. Ziller and A. A. Gorodetsky, J. Mater. Chem. C, 2016, 4, 4060 DOI: 10.1039/C5TC03974F

To request permission to reproduce material from this article, please go to the Copyright Clearance Center request page.

If you are an author contributing to an RSC publication, you do not need to request permission provided correct acknowledgement is given.

If you are the author of this article, you do not need to request permission to reproduce figures and diagrams provided correct acknowledgement is given. If you want to reproduce the whole article in a third-party publication (excluding your thesis/dissertation for which permission is not required) please go to the Copyright Clearance Center request page.

Read more about how to correctly acknowledge RSC content.

Social activity

Spotlight

Advertisements