A highly efficient synthesis of the DEFG-ring system of rubriflordilactone B†
Abstract
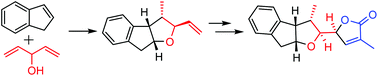
A highly efficient synthesis of the DEFG-ring system of rubriflordilactone B via polar-radical-crossover cycloaddition and carbonyl allylation/lactonization is described.
- This article is part of the themed collection: Celebrating the 75th Birthday of Professor Barry Trost
Please wait while we load your content...