Issue 63, 2016

Discovery of lipoic acid-4-phenyl-1H-pyrazole hybrids as novel bifunctional ROCK inhibitors with antioxidant activity

Abstract

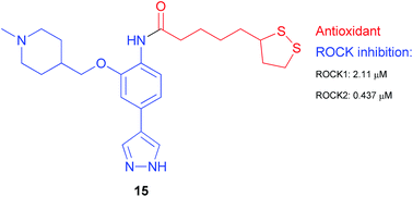
A series of lipoic acid (LA) and 4-phenyl-1H-pyrazole hybrids as bifunctional Rho-associated kinase (ROCK) inhibitors were designed, synthesized and evaluated. Compound 15 is identified to be a novel potent bifunctional ROCK inhibitor with antioxidant activity and neuroprotection.

Graphical abstract: Discovery of lipoic acid-4-phenyl-1H-pyrazole hybrids as novel bifunctional ROCK inhibitors with antioxidant activity

Supplementary files

Article information

Article type
Communication
Submitted
10 May 2016
Accepted
04 Jun 2016
First published
13 Jun 2016

RSC Adv., 2016,6, 58516-58520

Discovery of lipoic acid-4-phenyl-1H-pyrazole hybrids as novel bifunctional ROCK inhibitors with antioxidant activity

Y. Tu, Q. Chen, S. Wang, A. Uri, X. Yang, J. Chu, J. Chen, B. Luo, X. Chen, S. Wen and R. Pi, RSC Adv., 2016, 6, 58516 DOI: 10.1039/C6RA12081D

To request permission to reproduce material from this article, please go to the Copyright Clearance Center request page.

If you are an author contributing to an RSC publication, you do not need to request permission provided correct acknowledgement is given.

If you are the author of this article, you do not need to request permission to reproduce figures and diagrams provided correct acknowledgement is given. If you want to reproduce the whole article in a third-party publication (excluding your thesis/dissertation for which permission is not required) please go to the Copyright Clearance Center request page.

Read more about how to correctly acknowledge RSC content.

Social activity

Spotlight

Advertisements