Tuning of quantum entanglement in molecular quantum cellular automata based on mixed-valence tetrameric units
Abstract
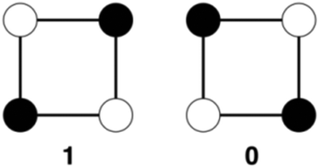
In this article we consider two coupled tetrameric mixed-valence (MV) units accommodating electron pairs, which play the role of cells in molecular quantum cellular automata. It is supposed that the Coulombic interaction between instantly localized electrons within the cell markedly inhibits the transfer processes between the redox centers. Under this condition, as well as due to the vibronic localization of the electron pair, the cell can encode binary information, which is controlled by neighboring cells. We show that under certain conditions the two low-lying vibronic spin levels of the cell (ground and first excited states) can be regarded as originating from an effective spin–spin interaction. This is shown to depend on the internal parameters of the cell as well as on the induced polarization. Within this simplified two-level picture we evaluate the quantum entanglement in the system represented by the two electrons in the cell and show how the entanglement within the cell and concurrence can be controlled via polarization of the neighboring cells and temperature.
- This article is part of the themed collection: Molecular Spintronics : The role of Coordination Chemistry
Please wait while we load your content...