Issue 1, 2016

N-Heterocyclic carbene-catalyzed [4 + 2] annulation of α,β-unsaturated carboxylic acids: enantioselective synthesis of dihydropyridinones and spirocyclic oxindolodihydropyridinones

Abstract

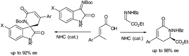
The N-heterocyclic carbene-catalyzed generation of dienoate from α,β-unsaturated carboxylic acid via the in situ formed mixed anhydride, and the following [4 + 2] annulation with hydrazones and isatin-derived imines was developed, affording the corresponding dihydropyridinones and spirocyclic oxindolodihydropyridinones, respectively, in moderate to good yields with good to excellent enantioselectivities.

Graphical abstract: N-Heterocyclic carbene-catalyzed [4 + 2] annulation of α,β-unsaturated carboxylic acids: enantioselective synthesis of dihydropyridinones and spirocyclic oxindolodihydropyridinones

Supplementary files

Article information

Article type
Research Article
Submitted
30 Sep 2015
Accepted
14 Nov 2015
First published
16 Nov 2015

Org. Chem. Front., 2016,3, 77-81

N-Heterocyclic carbene-catalyzed [4 + 2] annulation of α,β-unsaturated carboxylic acids: enantioselective synthesis of dihydropyridinones and spirocyclic oxindolodihydropyridinones

W. Jia, H. Zhang, C. Zhang, Z. Gao and S. Ye, Org. Chem. Front., 2016, 3, 77 DOI: 10.1039/C5QO00301F

To request permission to reproduce material from this article, please go to the Copyright Clearance Center request page.

If you are an author contributing to an RSC publication, you do not need to request permission provided correct acknowledgement is given.

If you are the author of this article, you do not need to request permission to reproduce figures and diagrams provided correct acknowledgement is given. If you want to reproduce the whole article in a third-party publication (excluding your thesis/dissertation for which permission is not required) please go to the Copyright Clearance Center request page.

Read more about how to correctly acknowledge RSC content.

Social activity

Spotlight

Advertisements