Issue 40, 2015

Ball milling as an effective route for the preparation of doped bornite: synthesis, stability and thermoelectric properties

Abstract

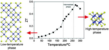
Bornite, Cu5FeS4, is a naturally-occurring mineral with an ultralow thermal conductivity and potential for thermoelectric power generation. We describe here a new, easy and scalable route for synthesising bornite, together with the thermoelectric behaviour of manganese-substituted derivatives, Cu5Fe1−xMnxS4 (0 ≤ x ≤ 0.10). The electrical and thermal transport properties of Cu5Fe1−xMnxS4 (0 ≤ x ≤ 0.10), which are p-type semiconductors, were measured from room temperature to 573 K. The stability of bornite was investigated by thermogravimetric analysis under inert and oxidising atmospheres. Repeated measurements of the electrical transport properties confirm that bornite is stable up to 580 K under an inert atmosphere, while heating to 890 K results in rapid degradation. Ball milling leads to a substantial improvement in the thermoelectric figure of merit of unsubstituted bornite (ZT = 0.55 at 543 K), when compared to bornite prepared by conventional high-temperature synthesis (ZT < 0.3 at 543 K). Manganese-substituted samples have a ZT comparable to that of unsubstituted bornite.

Graphical abstract: Ball milling as an effective route for the preparation of doped bornite: synthesis, stability and thermoelectric properties

Supplementary files

Article information

Article type
Paper
Submitted
10 Jun 2015
Accepted
21 Aug 2015
First published
24 Aug 2015

J. Mater. Chem. C, 2015,3, 10624-10629

Author version available

Ball milling as an effective route for the preparation of doped bornite: synthesis, stability and thermoelectric properties

G. Guélou, A. V. Powell and P. Vaqueiro, J. Mater. Chem. C, 2015, 3, 10624 DOI: 10.1039/C5TC01704A

To request permission to reproduce material from this article, please go to the Copyright Clearance Center request page.

If you are an author contributing to an RSC publication, you do not need to request permission provided correct acknowledgement is given.

If you are the author of this article, you do not need to request permission to reproduce figures and diagrams provided correct acknowledgement is given. If you want to reproduce the whole article in a third-party publication (excluding your thesis/dissertation for which permission is not required) please go to the Copyright Clearance Center request page.

Read more about how to correctly acknowledge RSC content.

Social activity

Spotlight

Advertisements