Explorations of fungal biosynthesis of reduced polyketides – a personal viewpoint
Abstract
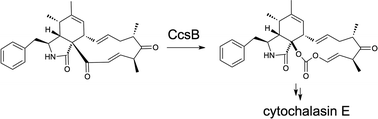
This viewpoint on biosynthesis of reduced polyketides in fungi traces evolution of the research area over more than 4 decades. It is a companion to the related articles by two personal and scientific friends with whom there has been free exchange of ideas for over 30 years. Beginning with very rudimentary knowledge about assembly of such natural products, developments using stable isotope labelling and subsequently identification of biosynthetic genes, led to understanding of the processive nature of polyketide formation. Recent expression and isolation of fungal iterative polyketide synthase enzymes has enabled more detailed exploration of the mechanisms of these fascinating molecular machines.
- This article is part of the themed collection: Fungal Natural Products
Please wait while we load your content...