Issue 55, 2014

The versatility of furfuryl alcohols and furanoxonium ions in synthesis

Abstract

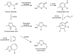
Substituted furfuryl alcohols are extraordinarily versatile starting materials in synthesis. They are precursors to furanoxonium ion intermediates which are implicated in the Piancatelli reaction (leading to 2-cyclopentenones) and in the synthesis of novel dihydrofuran-based exo enol ether/cyclic ketal natural products. They are also intermediates in a recently discovered (4+3) cycloaddition reaction with 1,3-dienes leading to furan ring-fused cycloheptenes. Here we provide a perspective on recent developments in these areas of synthesis, alongside recent applications of the Achmatowicz reaction and [5+2] cycloaddition reactions of the resulting oxidopyrylium ions.

Graphical abstract: The versatility of furfuryl alcohols and furanoxonium ions in synthesis

Article information

Article type
Feature Article
Submitted
14 Feb 2014
Accepted
02 Apr 2014
First published
02 Apr 2014

Chem. Commun., 2014,50, 7223-7242

The versatility of furfuryl alcohols and furanoxonium ions in synthesis

M. J. Palframan and G. Pattenden, Chem. Commun., 2014, 50, 7223 DOI: 10.1039/C4CC01196A

To request permission to reproduce material from this article, please go to the Copyright Clearance Center request page.

If you are an author contributing to an RSC publication, you do not need to request permission provided correct acknowledgement is given.

If you are the author of this article, you do not need to request permission to reproduce figures and diagrams provided correct acknowledgement is given. If you want to reproduce the whole article in a third-party publication (excluding your thesis/dissertation for which permission is not required) please go to the Copyright Clearance Center request page.

Read more about how to correctly acknowledge RSC content.

Social activity

Spotlight

Advertisements