Vapour deposited films of quinoidal biselenophene and bithiophene derivatives as active layers of n-channel organic field-effect transistors
Abstract
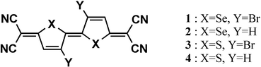
n-Channel OFETs using oligoselenophene- and oligothiophene-based semiconductors as active layers have been successfully fabricated, and the field-effect mobilities for the
- This article is part of the themed collection: Selenium & Tellurium chemistry at the beginning of the 3rd millennium: a celebration of ICCST
Please wait while we load your content...