Synthesis of rhombohedral Hf0.5Zr0.5O2 and analysis by X-ray diffraction through dynamical diffraction simulations†
Abstract
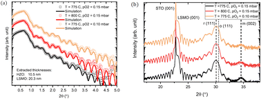
The persistence of ferroelectricity down to nanometer scales in hafnia-based materials makes these compounds promising candidates for future electronic applications. Moreover, theoretical calculations show the existence of several meta-stable phases of hafnia, which means that epitaxial strain engineering might be capable of stabilizing some of these meta-stable phases. In this work, Hf0.5Zr0.5O2 (HZO) was deposited on an epitaxial layer of La0.7Sr0.3MnO3 (LSMO), which was grown on a (100)-oriented SrTiO3 (STO) single crystal substrate. High-resolution X-ray diffraction measurements, combined with dynamical X-ray diffraction simulations of the multilayer, give new insights into the delicate interplay between interfacial layers and the strain state of the LSMO and HZO layers. This sheds new light on the way we can model these kinds of multilayers and potentially investigate strain relaxation through XRD simulations.
- This article is part of the themed collection: In Honor of Professor Thom Palstra

Please wait while we load your content...