Teaching an old molecule new tricks: evidence and rationalisation of the slow magnetisation dynamics in [DyTp2Acac]†‡
Abstract
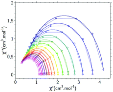
We report the luminescence and magnetic properties of the mononuclear Dy(III) complex [DyTp2Acac] (Tp = tris-pyrazolylborohydride and Acac = 2,4-pentanedionate). This complex displays peculiar slow magnetisation dynamics at low temperature in the absence of a static field, which we managed to interpret using its resolved luminescence spectrum and ab initio calculations.
- This article is part of the themed collection: Inorganic Chemistry Frontiers HOT articles for 2018

Please wait while we load your content...