Issue 40, 2020

Structure–activity prediction networks (SAPNets): a step beyond Nano-QSAR for effective implementation of the safe-by-design concept

Abstract

A significant number of experimental studies are supported by computational methods such as quantitative structure–activity relationship modeling of nanoparticles (Nano-QSAR). This is especially so in research focused on design and synthesis of new, safer nanomaterials using safe-by-design concepts. However, Nano-QSAR has a number of important limitations. For example, it is not clear which descriptors that describe the nanoparticle physicochemical and structural properties are essential and can be adjusted to alter the target properties. This limitation can be overcome with the use of the Structure–Activity Prediction Network (SAPNet) presented in this paper. There are three main phases of building the SAPNet. First, information about the structural characterization of a nanomaterial, its physical and chemical properties and toxicity is compiled. Then, the most relevant properties (intrinsic/extrinsic) likely to influence the ENM toxicity are identified by developing “meta-models”. Finally, these “meta-models” describing the dependencies between the most relevant properties of the ENMs and their adverse biological properties are developed. In this way, the network is built layer by layer from the endpoint (e.g. toxicity or other properties of interest) to descriptors that describe the particle structure. Therefore, SAPNets go beyond the current standards and provide sufficient information on what structural features should be altered to obtain a material with desired properties.

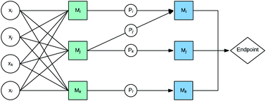
Graphical abstract: Structure–activity prediction networks (SAPNets): a step beyond Nano-QSAR for effective implementation of the safe-by-design concept

Supplementary files

Article information

Article type
Paper
Submitted
13 Jul 2020
Accepted
13 Sep 2020
First published
13 Oct 2020
This article is Open Access
Creative Commons BY license

Nanoscale, 2020,12, 20669-20676

Structure–activity prediction networks (SAPNets): a step beyond Nano-QSAR for effective implementation of the safe-by-design concept

A. Rybińska-Fryca, A. Mikolajczyk and T. Puzyn, Nanoscale, 2020, 12, 20669 DOI: 10.1039/D0NR05220E

This article is licensed under a Creative Commons Attribution 3.0 Unported Licence. You can use material from this article in other publications without requesting further permissions from the RSC, provided that the correct acknowledgement is given.

Read more about how to correctly acknowledge RSC content.

Social activity

Spotlight

Advertisements