Issue 6, 2002

Ultrasound promoted Suzuki cross-coupling reactions in ionic liquid at ambient conditions

Abstract

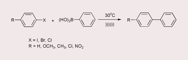
Palladium catalyzed Suzuki cross-coupling reactions of halobenzenes including chlorobenzenes with phenylboronic acid have been achieved at ambient temperature (30 °C) in the absence of a phosphine ligand using the ionic liquid 1,3-di-n-butylimidazolium tetrafluoroborate [bbim][BF4] with methanol as co-solvent under ultrasonic irradiation.

Graphical abstract: Ultrasound promoted Suzuki cross-coupling reactions in ionic liquid at ambient conditions

Article information

Article type
Communication
Submitted
11 Dec 2001
Accepted
12 Feb 2002
First published
22 Feb 2002

Chem. Commun., 2002, 616-617

Ultrasound promoted Suzuki cross-coupling reactions in ionic liquid at ambient conditions

R. Rajagopal, D. V. Jarikote and K. V. Srinivasan, Chem. Commun., 2002, 616 DOI: 10.1039/B111271F

To request permission to reproduce material from this article, please go to the Copyright Clearance Center request page.

If you are an author contributing to an RSC publication, you do not need to request permission provided correct acknowledgement is given.

If you are the author of this article, you do not need to request permission to reproduce figures and diagrams provided correct acknowledgement is given. If you want to reproduce the whole article in a third-party publication (excluding your thesis/dissertation for which permission is not required) please go to the Copyright Clearance Center request page.

Read more about how to correctly acknowledge RSC content.

Social activity

Spotlight

Advertisements