Self-assembling purine and pteridine quartets: how do π-conjugation patterns affect resonance-assisted hydrogen bonding?†
Abstract
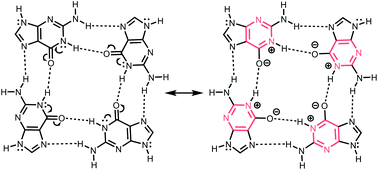
Computed association strengths for 43 purine and pteridine quartets (38 to 100 kcal mol−1) show excellent linear correlation with π-conjugation gain in the assembled monomers (r2 = 0.965). Even quartets having the same secondary electrostatic interactions can display very different association strengths depending on the π-conjugation patterns of the monomeric units.
- This article is part of the themed collection: Supramolecular chemistry in OBC

Please wait while we load your content...