Issue 18, 2014

Chemoenzymatic synthesis of “click” xylosides and xylobiosides from lignocellulosic biomass

Abstract

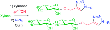
Synthesis of bio-based molecules from plant biomass with chemoenzymatic pathways represents a challenging task for the development of green chemistry. In this context, an efficient two-step chemoenzymatic sequence has been achieved for the preparation of triazole-linked xylosides and xylobiosides from biomass-derived xylans. The synthesis of propargyl xyloside and xylobioside catalysed by a xylanase in an aqueous medium was first studied and improved according to different reaction parameters. Cycloaddition reactions between the terminal alkyne moiety of these xylosides or xylobiosides and various aliphatic, aromatic or functionalized azides (“click chemistry”) afforded various triazole-linked O-xylosides and O-xylobiosides in high yields. These molecules are of interest for different biological applications.

Graphical abstract: Chemoenzymatic synthesis of “click” xylosides and xylobiosides from lignocellulosic biomass

Article information

Article type
Paper
Submitted
28 Oct 2013
Accepted
23 Jan 2014
First published
23 Jan 2014

RSC Adv., 2014,4, 9330-9338

Chemoenzymatic synthesis of “click” xylosides and xylobiosides from lignocellulosic biomass

C. Brusa, M. Ochs, C. Rémond, M. Muzard and R. Plantier-Royon, RSC Adv., 2014, 4, 9330 DOI: 10.1039/C3RA46173D

To request permission to reproduce material from this article, please go to the Copyright Clearance Center request page.

If you are an author contributing to an RSC publication, you do not need to request permission provided correct acknowledgement is given.

If you are the author of this article, you do not need to request permission to reproduce figures and diagrams provided correct acknowledgement is given. If you want to reproduce the whole article in a third-party publication (excluding your thesis/dissertation for which permission is not required) please go to the Copyright Clearance Center request page.

Read more about how to correctly acknowledge RSC content.

Social activity

Spotlight

Advertisements