Microfluidic chip electrophoresis investigation of major milk proteins: study of buffer effects and quantitative approaching
Abstract
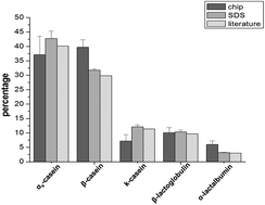
The separation and quantification of major milk proteins are fundamental in dairy research. Therefore, accurate and rapid methods are profoundly important. The microfluidic chip technique is faster, and uses considerably fewer chemicals and materials than traditional techniques. The objective of this study was to improve experimental methods for separating and quantifying major milk proteins using the microfluidic chip technique. Deionized water, a total protein solubilization buffer (TPS buffer) and a separating milk protein buffer (SEP buffer) were used for the treatment of milk samples and their effects were evaluated. The results showed an excellent separation for whey proteins with α-lactalbumin migrating first, followed by β-lactoglobulin in the presence of both buffers. However, better results for major casein separation were obtained when SEP buffer was added. The order of the migration time was: β-casein first, followed by αs-casein and κ-casein. The quantitative analysis showed significant differences among the percentages of protein fractions from both buffers. The results of microfluidic chip technology using the SEP buffer solution were comparable to those obtained by SDS-PAGE for these proteins and to the data reported in the literature.
- This article is part of the themed collection: Analytical Sciences in Brazil
Please wait while we load your content...