Issue 12, 2009

Drug-containing coordination and hydrogen bonding networks obtained mechanochemically

Abstract

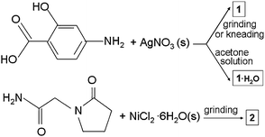
In this communication we describe the solid-state preparation and structural characterization of the coordination and hydrogen bonding networks formed by the antibiotic 4-aminosalicylic acid and the nootropic drug piracetam with silver and nickel cations, respectively; the silver complex formed via solid-state reaction is anhydrous, while from solution its hydrated phase is obtained.

Graphical abstract: Drug-containing coordination and hydrogen bonding networks obtained mechanochemically

Supplementary files

Article information

Article type
Communication
Submitted
06 Jul 2009
Accepted
14 Aug 2009
First published
02 Sep 2009

CrystEngComm, 2009,11, 2618-2621

Drug-containing coordination and hydrogen bonding networks obtained mechanochemically

D. Braga, F. Grepioni, V. André and M. T. Duarte, CrystEngComm, 2009, 11, 2618 DOI: 10.1039/B913433F

To request permission to reproduce material from this article, please go to the Copyright Clearance Center request page.

If you are an author contributing to an RSC publication, you do not need to request permission provided correct acknowledgement is given.

If you are the author of this article, you do not need to request permission to reproduce figures and diagrams provided correct acknowledgement is given. If you want to reproduce the whole article in a third-party publication (excluding your thesis/dissertation for which permission is not required) please go to the Copyright Clearance Center request page.

Read more about how to correctly acknowledge RSC content.

Social activity

Spotlight

Advertisements