Synthesis of pyrrolo[2,3-d]pyridazines and pyrrolo[2,3-c]pyridines (6-azaindoles). Experimental and theoretical study†
Abstract
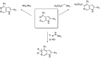
A new synthetic route towards 6-azaindoles (pyrrolo[2,3-c]pyridines) and pyrrolo[2,3-d]pyridazines starting from 4-aroyl pyrroles is described. This overall protocol involves: (i) the Vilsmeier–Haack reaction to obtain pyrrolo-2,3-dicarbonyles and (ii) condensation with hydrazines or glycine methyl ester. The reaction mechanism between pyrrolo-2,3-dicarbonyl with phenyl hydrazine and glycine methyl ester has been modelled using DFT calculations to prove the formation of one from two possible isomers of condensation.

Please wait while we load your content...