Watch out electrons!: Positron Binding Redefines Chemical Bonding in Be2

Abstract

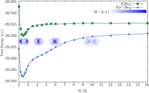
Positrons, the antiparticles of electrons, serve as unique probes for fundamental interactions and are crucial in diverse applications. We present a new mechanism in chemical bonding: the formation of a positron-driven bond that fundamentally alters electronic bonding interactions. Investigating the Be2 dimer with Quantum Monte Carlo (QMC) simulations, we construct the potential energy curve of e+:Be2. Our analysis reveals a significant energetic stabilization of the Be-Be bond upon positron attachment, a result that challenges conventional understanding. We show this stabilization arises from a novel, two-stage mechanism: at longer distances, a positron bond forms via internuclear positron accumulation, similar to that in positron-anion systems. However, as the atoms approach equilibrium, the positron density undergoes a unique redistribution, moving out of the internuclear region to accumulate in the outer molecular vicinity. This distinct positron localization, combined with an otherwise repulsive electronic component, leads to overall system stabilization as the electron density dynamically follows the positron. This work expands our understanding of chemical bonding by strongly suggesting how an antiparticle can profoundly influence molecular stability.

Supplementary files

Transparent peer review

To support increased transparency, we offer authors the option to publish the peer review history alongside their article.

View this article’s peer review history

Article information

Article type
Edge Article
Submitted
30 Jul 2025
Accepted
23 Oct 2025
First published
27 Oct 2025
This article is Open Access

All publication charges for this article have been paid for by the Royal Society of Chemistry
Creative Commons BY-NC license

Chem. Sci., 2025, Accepted Manuscript

Watch out electrons!: Positron Binding Redefines Chemical Bonding in Be2

R. Porras Roldan, J. A. Charry Martínez, F. Moncada, R. Flores-Moreno, M. T. Varella and A. Reyes, Chem. Sci., 2025, Accepted Manuscript , DOI: 10.1039/D5SC05711F

This article is licensed under a Creative Commons Attribution-NonCommercial 3.0 Unported Licence. You can use material from this article in other publications, without requesting further permission from the RSC, provided that the correct acknowledgement is given and it is not used for commercial purposes.

To request permission to reproduce material from this article in a commercial publication, please go to the Copyright Clearance Center request page.

If you are an author contributing to an RSC publication, you do not need to request permission provided correct acknowledgement is given.

If you are the author of this article, you do not need to request permission to reproduce figures and diagrams provided correct acknowledgement is given. If you want to reproduce the whole article in a third-party commercial publication (excluding your thesis/dissertation for which permission is not required) please go to the Copyright Clearance Center request page.

Read more about how to correctly acknowledge RSC content.

Social activity

Spotlight

Advertisements