Copper(ii)-mediated base pairing involving the artificial nucleobase 3H-imidazo[4,5-f]quinolin-5-ol†
Abstract
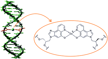
Different N3-substituted derivatives of the new ligand 3H-imidazo[4,5-f]quinolin-5-ol were synthesized. The three pKa values of its nucleoside derivative 1 were determined as 2.72 ± 0.09, 5.2 ± 0.2 and 9.7 ± 0.2. Sophisticated computational methods were used to explain these experimental acidity constants. The artificial nucleoside analogue 1 containing the new ligand was introduced into various DNA duplexes. Upon the addition of Cu(II) ions to the DNA, highly stabilizing 1–Cu(II)–1 base pairs were formed, with an increase in the DNA melting temperature upon Cu(II) insertion of up to 38 °C. The ligand represents the largest artificial nucleobase used for Cu(II)-mediated base pairing. It was also applied in Cu(II)-mediated base pairing with the smallest Cu(II)-binding nucleoside 2, involving the ligand 4-carboxyimidazole. The thermal duplex stabilization upon 2–Cu(II)–1 base pair formation is smaller than that of 1–Cu(II)–1 and comes close to that of the previously reported 2–Cu(II)–2. Important design principles for Cu(II)-mediated base pairs can be derived by comparing the homoleptic complexes of the largest and the smallest Cu(II)-binding nucleosides with the heteroleptic complexes comprising both nucleosides.
- This article is part of the themed collection: Nitrogen Ligands

Please wait while we load your content...