Degradation and post-treatment reaction cascade of acetaminophen after electro-Fenton treatment on heterogeneous catalyst active sites
Abstract
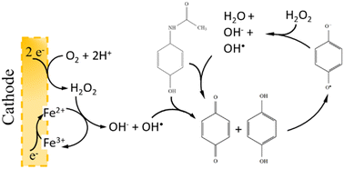
Pharmaceuticals are not effectively removed from wastewater by traditional three step water purification methods, posing significant environmental and public health concerns. A heterogeneous electro-Fenton process was investigated as a promising treatment candidate and revealed a degradation mechanism with two stages for the common pharmaceutical acetaminophen. First, a traditional Fenton reaction occurs in situ at active sites of catalytic iron at the cathode. Hydroxyl radicals which are produced from hydrogen peroxide via the Fenton reaction lead to hydroxylation of acetaminophen. This primary degradation initialises a post-treatment reaction cascade leading to degradation ex situ over time. Without further energy input, continuous degradation of acetaminophen can be achieved. The main products of acetaminophen degradation caused by the Fenton reaction and other advanced oxidation processes (AOPs) as described in the literature are p-benzoquinone (BQ) and hydroquinone (HQ). Their occurrence is also likely in the described setup. Both can lead to formation of quinone anion radicals (QRs) by comproportionation. When QRs react with the weak oxidising agents present, hydrogen peroxide and oxygen, hydroxyl radicals and superoxide radicals are produced. These lead to further degradation processes towards the mineralisation of the remaining acetaminophen and its products. As BQ and HQ are degradation products of several aromatic pollutants, it is possible that the revealed mechanism is transferable to other pollutants and their degradation through the Fenton reaction. This emphasizes the importance of studying Fenton systems not only in batch or circular reactors, but also in continuous flow-through systems, allowing differentiation between effects caused by the two degradation stages.
- This article is part of the themed collection: Catalysis Science & Technology Open Access Spotlight 2025

Please wait while we load your content...