Model reactions for the evaluation of poly- and multifunctional molecules as potential interfacial agents for the compatibilization of polyethylene/poly(ethylene-co-vinyl alcohol) blends†
Abstract
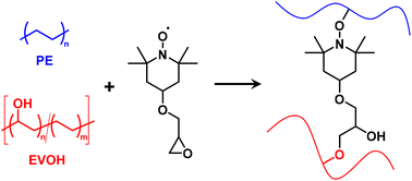
In aiming to identify an interfacial agent for polyethylene (PE)/poly(ethylene-co-vinyl alcohol) (EVOH) blends, which are the main components found in flexible food packaging, triallyl isocyanurate and a molecule bearing two (2,2,6,6-tetramethylpiperidin-1-yl)oxyl (TEMPO) groups were initially investigated with model molecules of targeted polymers, but the results were only moderate. The design of a suitable interfacial agent led to 4-glycidyl-2,2,6,6-tetramethylpiperidin-1-oxyl, which demonstrated covalent coupling of the TEMPO group with the model molecule of PE and the glycidyl group with the hydroxyl group of the model molecule of EVOH. This approach with model molecules could be a way to screen molecules that could have potential as interfacial agents to compatibilize polymers from materials that need to be upcycled.
- This article is part of the themed collection: Plastic Conversion

Please wait while we load your content...