A gel lattice alters the phase state of a solvent†
Abstract
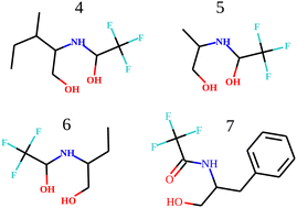
Some low-molecular-weight substances are able to self-assemble into fiber-like structures (strings) to form gels. One of the examples of such substances is trifluoroacetylated alpha-aminoalcohols (TFAAAs) able to gelate in many organic solvents. Here we report the formation and describe the properties of a layer of an altered solvent covering the strings' surface. The altered solvent layer has a different refractive index and melts at a temperature about several degrees lower than that of the bulk solvent. Moreover, the bulk solvent's melting temperature was also decreased by values far beyond the one expected according to Raoult's law. Based on the Gibbs–Thomson equation it is possible to derive the thickness of the special layer as well as the average gel lattice parameters, which were very stable across the variety of systems investigated.

Please wait while we load your content...