Comment on “Thermal compaction of the intrinsically disordered protein tau: entropic, structural, and hydrophobic factors” by A. Battisti, G. Ciasca, A. Grottesi and A. Tenenbaum, Phys. Chem. Chem. Phys., 2017, 19, 8435
Abstract
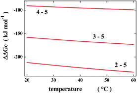
In a recent article, A. Battisti et al., Phys. Chem. Chem. Phys., 2017, 19, 8435, results from SAXS measurements, metadynamic trajectories and classic MD trajectories at different temperatures have been used to study the temperature-induced compaction of the intrinsically disordered protein tau. The analysis, though technically sound, does not provide a clear explanation of hydrophobic interaction strengthening on increasing the temperature and its relationship with the population increase of secondary structural elements. Actually, hydrophobic interaction is driven by the gain in translational entropy of water molecules associated with the decrease in solvent-excluded volume due to chain compaction. The magnitude of this solvent-excluded volume effect increases with temperature in water because the density of water is almost temperature-independent due to the strength of H-bonds. Since α-helix formation leads to a significant decrease in the solvent-excluded volume, the connection with hydrophobic interaction and chain compaction emerges directly.

Please wait while we load your content...