Reaction of imidazo[1,2-a]pyridines with coumarin-3-carboxylic acids: a domino Michael addition/decarboxylation/oxidation/annulation†
Abstract
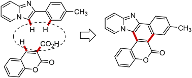
A facile, metal- and additive-free C–C bond construction between imidazo[1,2-a]pyridines and coumarin-3-carboxylic acids through a decarboxylative Michael addition is reported to achieve an imidazo[1,2-a]pyridin-3-yl-chroman-2-one skeleton. In addition, heterocyclic polyaromatic dibenzoisochromenoimidazo[1,2-a]pyridin-6-ones of value for future medicinal chemistry can be obtained successfully by this procedure through a domino reaction involving Michael addition/decarboxylation/oxidation/C–H bond activation and annulation.