Issue 39, 2017

The trimerization of acetylenes involves a cascade of biradical and pericyclic processes

Abstract

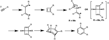
Thorough computational studies were performed on mechanisms and energies for the thermal trimerizations of neutral or electron-rich acetylenes used as cross-linkers in organic hard-masks for lithography applications. These studies indicate that the operative mechanism proceeds through initial cyclobutadiene formation via a biradical mechanism. Cyclobutadienes form Dewar benzenes via Diels–Alder cycloadditions, or biradical processes, or both, before producing benzenes by electrocyclic ring-opening reactions. These pathways are preferred to alternatives involving concerted trimerizations or mechanisms involving carbene intermediates.

Graphical abstract: The trimerization of acetylenes involves a cascade of biradical and pericyclic processes

Supplementary files

Article information

Article type
Paper
Submitted
29 Jul 2017
Accepted
18 Sep 2017
First published
18 Sep 2017

Org. Biomol. Chem., 2017,15, 8326-8333

The trimerization of acetylenes involves a cascade of biradical and pericyclic processes

G. O. Jones and Z. J. Krebs, Org. Biomol. Chem., 2017, 15, 8326 DOI: 10.1039/C7OB01885A

To request permission to reproduce material from this article, please go to the Copyright Clearance Center request page.

If you are an author contributing to an RSC publication, you do not need to request permission provided correct acknowledgement is given.

If you are the author of this article, you do not need to request permission to reproduce figures and diagrams provided correct acknowledgement is given. If you want to reproduce the whole article in a third-party publication (excluding your thesis/dissertation for which permission is not required) please go to the Copyright Clearance Center request page.

Read more about how to correctly acknowledge RSC content.

Social activity

Spotlight

Advertisements