Issue 1, 2012

Palladium(0)-catalyzed cyclopropane C–H bond functionalization: synthesis of quinoline and tetrahydroquinoline derivatives

Abstract

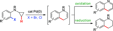
A series of quinoline and tetrahydroquinoline derivatives were prepared via a one-pot protocol involving intramolecular palladium(0)-catalyzed cyclopropane sp3 C–H bond functionalization and subsequent oxidation or reduction. The reaction conditions demonstrate good tolerance for a wide range of functional groups. Evidence suggests that the reaction proceeds through C–H bond cleavage and C–C bond formation to generate a dihydroquinoline intermediate via in situcyclopropane ring-opening.

Graphical abstract: Palladium(0)-catalyzed cyclopropane C–H bond functionalization: synthesis of quinoline and tetrahydroquinoline derivatives

Supplementary files

Article information

Article type
Edge Article
Submitted
12 Jul 2011
Accepted
08 Sep 2011
First published
23 Sep 2011

Chem. Sci., 2012,3, 244-248

Palladium(0)-catalyzed cyclopropane C–H bond functionalization: synthesis of quinoline and tetrahydroquinoline derivatives

S. Rousseaux, B. Liégault and K. Fagnou, Chem. Sci., 2012, 3, 244 DOI: 10.1039/C1SC00458A

To request permission to reproduce material from this article, please go to the Copyright Clearance Center request page.

If you are an author contributing to an RSC publication, you do not need to request permission provided correct acknowledgement is given.

If you are the author of this article, you do not need to request permission to reproduce figures and diagrams provided correct acknowledgement is given. If you want to reproduce the whole article in a third-party publication (excluding your thesis/dissertation for which permission is not required) please go to the Copyright Clearance Center request page.

Read more about how to correctly acknowledge RSC content.

Social activity

Spotlight

Advertisements