Issue 12, 2004

Allylation and highly diastereoselective syn or anti crotylation of N-toluenesulfonylimines using potassium allyl- and crotyltrifluoroborates

Abstract

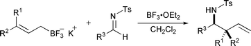
Air and moisture stable potassium allyl- and crotyltrifluoroborates undergo addition to N-sulfonyl and N-sulfinyl aldimines in the presence of Lewis acids, to provide the corresponding homoallylic amines in high yields and excellent diastereoselectivity.

Graphical abstract: Allylation and highly diastereoselective syn or anti crotylation of N-toluenesulfonylimines using potassium allyl- and crotyltrifluoroborates

Article information

Article type
Communication
Submitted
11 Mar 2004
Accepted
06 Apr 2004
First published
11 May 2004

Chem. Commun., 2004, 1382-1383

Allylation and highly diastereoselective syn or anti crotylation of N-toluenesulfonylimines using potassium allyl- and crotyltrifluoroborates

S. Li and R. A. Batey, Chem. Commun., 2004, 1382 DOI: 10.1039/B403759F

To request permission to reproduce material from this article, please go to the Copyright Clearance Center request page.

If you are an author contributing to an RSC publication, you do not need to request permission provided correct acknowledgement is given.

If you are the author of this article, you do not need to request permission to reproduce figures and diagrams provided correct acknowledgement is given. If you want to reproduce the whole article in a third-party publication (excluding your thesis/dissertation for which permission is not required) please go to the Copyright Clearance Center request page.

Read more about how to correctly acknowledge RSC content.

Social activity

Spotlight

Advertisements