Systematic analysis of electronic barrier heights and widths for concerted proton transfer in cyclic hydrogen bonded clusters: (HF)n, (HCl)n and (H2O)n where n = 3, 4, 5†
Abstract
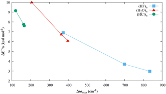
The MP2 and CCSD(T) methods are paired with correlation consistent basis sets as large as aug-cc-pVQZ to optimize the structures of the cyclic minima for (HF)n, (HCl)n and (H2O)n where n = 3–5, as well as the corresponding transition states (TSs) for concerted proton transfer (CPT). MP2 and CCSD(T) harmonic vibrational frequencies confirm the nature of each minimum and TS. Both conventional and explicitly correlated CCSD(T) computations are employed to assess the electronic dissociation energies and barrier heights for CPT near the complete basis (CBS) limit for all 9 clusters. Results for (HF)n are consistent with prior studies identifying Cnh and Dnh point group symmetry for the minima and TSs, respectively. Our computations also confirm that CPT proceeds through Cs TS structures for the C1 minima of (H2O)3 and (H2O)5, whereas the process goes through a TS with D2d symmetry for the S4 global minimum of (H2O)4. This work corroborates earlier findings that the minima for (HCl)3, (HCl)4 and (HCl)5 have C3h, S4 and C1 point group symmetry, respectively, and that the Cnh structures are not minima for n = 4 and 5. Moreover, our computations show the TSs for CPT in (HCl)3, (HCl)4 and (HCl)5 have D3h, D2d, and C2 point group symmetry, respectively. At the CCSD(T) CBS limit, (HF)4 and (HF)5 have the smallest electronic barrier heights for CPT (≈15 kcal mol−1 for both), followed by the HF trimer (≈21 kcal mol−1). The barriers are appreciably higher for the other clusters (around 27 kcal mol−1 for (H2O)4 and (HCl)3; roughly 30 kcal mol−1 for (H2O)3, (H2O)5 and (HCl)4; up to 38 kcal mol−1 for (HCl)5). At the CBS limit, MP2 significantly underestimates the CCSD(T) barrier heights (e.g., by ca. 2, 4 and 7 kcal mol−1 for the pentamers of HF, H2O and HCl, respectively), whereas CCSD overestimates these barriers by roughly the same magnitude. Scaling the barrier heights and dissociation energies by the number of fragments in the cluster reveals strong linear relationships between the two quantities and with the magnitudes of the imaginary vibrational frequency for the TSs.
- This article is part of the themed collection: PCCP 25th Anniversary Issue

Please wait while we load your content...
