Issue 35, 2018

Campestarenes: new building blocks with 5-fold symmetry

Abstract

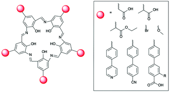
Campestarene is a planar, shape-persistent macrocycle with 5-fold symmetry. A range of derivatives bearing peripheral functional groups suitable for generating supramolecular interactions has been designed and synthesised for potential applications in creating 2D quasicrystal molecular assemblies. The new campestarene derivatives bear ester, carboxylic acid, methoxy, bromo, 4-pyridyl, 4-cyanophenyl and 4-phenyl carboxylic acid groups, including further derivatives of the latter two bearing alkyl chains on the phenyl groups to improve solubility. The campestarene derivatives were prepared by reductive condensation of phenol precursors bearing nitro and formyl groups using Na2S2O4. The target functional groups were installed either by pre-cyclisation derivatisation or by synthesis of methoxy-substituted campestarene and subsequent derivatisation. The cyclisation reaction is tolerant of the functional groups introduced. The ten new campestarene derivatives were characterised by NMR spectroscopy and MALDI-TOF MS, although the poor solubility of some examples precluded their detailed characterisation.

Graphical abstract: Campestarenes: new building blocks with 5-fold symmetry

Supplementary files

Article information

Article type
Paper
Submitted
24 Apr 2018
Accepted
15 Aug 2018
First published
21 Aug 2018
This article is Open Access
Creative Commons BY license

Org. Biomol. Chem., 2018,16, 6460-6469

Campestarenes: new building blocks with 5-fold symmetry

S. Nam, D. C. Ware and P. J. Brothers, Org. Biomol. Chem., 2018, 16, 6460 DOI: 10.1039/C8OB00957K

This article is licensed under a Creative Commons Attribution 3.0 Unported Licence. You can use material from this article in other publications without requesting further permissions from the RSC, provided that the correct acknowledgement is given.

Read more about how to correctly acknowledge RSC content.

Social activity

Spotlight

Advertisements