Issue 58, 2016

Directly linked hydroporphyrin dimers

Abstract

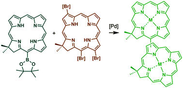
Directly linked hydroporphyrin (chlorin) dimers were accessed regioselectively from bromochlorins. Versatile 15-borylated chlorins were prepared in excellent yield via Miyaura borylation. Suzuki coupling yielded mesomeso-linked homo- and heterodimers, and meso-β-linked dimers. The photophysical and electrochemical properties of the dimers are reported.

Graphical abstract: Directly linked hydroporphyrin dimers

Supplementary files

Article information

Article type
Communication
Submitted
18 Jan 2016
Accepted
03 Feb 2016
First published
03 Feb 2016

Chem. Commun., 2016,52, 9056-9058

Author version available

Directly linked hydroporphyrin dimers

R. Xiong, A. I. Arkhypchuk, D. Kovacs, A. Orthaber and K. Eszter Borbas, Chem. Commun., 2016, 52, 9056 DOI: 10.1039/C6CC00516K

To request permission to reproduce material from this article, please go to the Copyright Clearance Center request page.

If you are an author contributing to an RSC publication, you do not need to request permission provided correct acknowledgement is given.

If you are the author of this article, you do not need to request permission to reproduce figures and diagrams provided correct acknowledgement is given. If you want to reproduce the whole article in a third-party publication (excluding your thesis/dissertation for which permission is not required) please go to the Copyright Clearance Center request page.

Read more about how to correctly acknowledge RSC content.

Social activity

Spotlight

Advertisements