Issue 19, 2015

Size-dependent upconversion luminescence and temperature sensing behavior of spherical Gd2O3:Yb3+/Er3+ phosphor

Abstract

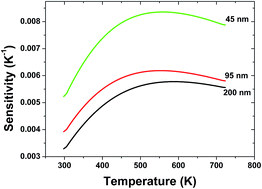
Yb3+/Er3+ codoped spherical Gd2O3 phosphors with different particle sizes were prepared via a urea-assisted homogeneous precipitation process by adjusting the molar ratio of rare earth ions and urea followed by annealing at high temperature. The phases, morphologies, and luminescence properties of the as-prepared samples were characterized by X-ray diffraction (XRD), field emission scanning electron microscopy (FE-SEM), and upconversion luminescence (UCL) spectra, respectively. The spherical Gd2O3:Yb3+/Er3+ phosphors showed size-dependent upconversion luminescence properties under the excitation of 980 nm-laser. The temperature sensing behavior of spherical Gd2O3:Yb3+/Er3+ phosphors with different particle sizes was studied based on the change of emission intensities from two thermally coupled 2H11/2 and 4S3/2 levels. It is interesting to observe that the sensing sensitivity of the sample increases with decreasing particle size and a sensitivity of 84 × 10−4 K−1 was obtained for the sample with a particle size of 45 nm. Finally, Judd–Ofelt theory was used for explaining and predicting the effect of particle size on sensing sensitivity.

Graphical abstract: Size-dependent upconversion luminescence and temperature sensing behavior of spherical Gd2O3:Yb3+/Er3+ phosphor

Article information

Article type
Paper
Submitted
27 Oct 2014
Accepted
20 Jan 2015
First published
22 Jan 2015

RSC Adv., 2015,5, 14123-14128

Size-dependent upconversion luminescence and temperature sensing behavior of spherical Gd2O3:Yb3+/Er3+ phosphor

Y. Tian, B. Tian, C. Cui, P. Huang, L. Wang and B. Chen, RSC Adv., 2015, 5, 14123 DOI: 10.1039/C4RA13204A

To request permission to reproduce material from this article, please go to the Copyright Clearance Center request page.

If you are an author contributing to an RSC publication, you do not need to request permission provided correct acknowledgement is given.

If you are the author of this article, you do not need to request permission to reproduce figures and diagrams provided correct acknowledgement is given. If you want to reproduce the whole article in a third-party publication (excluding your thesis/dissertation for which permission is not required) please go to the Copyright Clearance Center request page.

Read more about how to correctly acknowledge RSC content.

Social activity

Spotlight

Advertisements