Theoretical investigation of the A1Π–X1Σ+, B1Σ+–X1Σ+, C1Σ+–X1Σ+, and E1Π–X1Σ+ transitions of the CO molecule†
Abstract
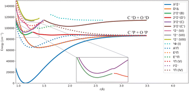
The spectrum of carbon monoxide is important for astrophysical media, such as planetary atmospheres, interstellar space, exoplanetary and stellar atmospheres; it also important in plasma physics, laser physics and combustion. Interpreting its spectral signature requires a deep and thorough understanding of its absorption and emission properties. A new accurate spectroscopic model for the ground and electronically-excited states of the CO molecule computed at the aug-cc-pV5Z ab initio CASSCF/MRCI+Q level is reported. Detailed investigation of the A1Π–X1Σ+, B1Σ+–X1Σ+, C1Σ+–X1Σ+, and E1Π–X1Σ+ band systems is presented consisting of calculated potential energy curves as well as permanent and transition dipole moment curves. The B1Σ+ and C1Σ+ states are characterized by having multiple avoided crossings which are diabatized to obtain an accurate electronic structure model. The results are validated by comparing our computed spectra with various high-resolution spectroscopy experiments. To the best of our knowledge, this is the first systematic theoretical spectroscopic study of highly excited states of the CO molecule.
- This article is part of the themed collection: Celebrating International Women’s day 2025: Women in physical chemistry

Please wait while we load your content...